发布日期: 04/13/2021

功效

要计算功效,可以使用非中心 F 分布。公式 (OBrien and Lohr 1984) 如下所示:

功效 = 概率(F > Fcrit, ν1, ν2, nc)

其中:

F 服从非中心 F(ncν1ν2) 分布,Fcrit = F(1-αν1, ν2)F 分布的 1 - α 分位数,该分布的自由度为 ν1ν2

ν1 = r -1 是分子自由度。

ν2 = r(n -1) 是分母自由度。

n 是每个组的观测数。

r 是组数。

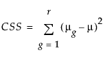
nc = n(CSS)/σ2 是非中心参数。

Equation shown here 是校正的平方和。

μg 是第 g 个组的均值。

μ 是总体均值。

σ2 根据均方误差 (MSE) 来估计。

需要更多信息?有问题?从 JMP 用户社区得到解答 (community.jmp.com).