本节说明如何计算单个参数的检验功效。使用以下符号:
X
模型矩阵。有关为名义型效应编码的信息,请参见《拟合线性模型》中的名义型效应的编码。另请参见模型矩阵。
注意:您可以通过运行“拟合模型”来查看模型矩阵。然后从主报表的红色小三角菜单选择保存列 > 保存编码表。
βι
关注项所对应的参数。

βi 的最小二乘估计量

预期系数值。要检测的差值是
。
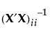
的方差由
的第 i 个对角线元素给出,其中 σ2 为误差方差。用
表示
的第 i 个对角线元素。
误差方差 σ2 由均方误差估计得出,具有 n − p − 1 个自由度,其中:n 是观测数,p 是模型中除截距之外的项数。
检验表示为:

或等效表示为:

在原假设下,检验统计量 F0 具有自由度为 1 和 n − p − 1 的 F 分布。
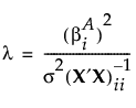
若
的真实值为
,则 F0 具有非中心 F 分布,其非中心参数由以下公式给出:

要计算检验功效,首先要求解 α 水平临界值 Fc:

然后按照如下方式计算功效:
