已保存的概率公式本节说明使用“保存概率公式”选项保存的公式。具有预测变量值 x1, x2, …, xp 的观测属于 Ck 类的条件概率与 P(Ck|(x1,..., xp)) 给出的概率(显示在算法一节中)稍有不同。这样做是为了提高计算效率。
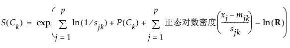
给定类 Ck, S(Ck) 的朴素得分公式是 P(Ck|(x1,..., xp)) 的表达式中分子的变化形式,该公式计算如下:

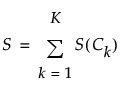
朴素得分和公式 S 对所有类的朴素得分公式求和。这是 P(Ck|(x1,..., xp)) 的表达式中分母的变化形式。

给定类 Ck 的朴素概率公式等于 P(Ck|(x1,..., xp))。在 JMP 公式中,

某观测的朴素预测公式将该观测归入 P(Ck|(x1,..., xp)) 最大的类。这等价于将观测归入其朴素得分公式最大的类。