发布日期: 04/13/2021

得分图分组比较

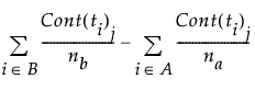
对于得分图分组比较,变量 j 的相对得分贡献是组 B 的平均贡献与组 A 的平均贡献之差:

Equation shown here

其中

A = 组 A 中的一组观测

B = 组 B 中的一组观测

na = 组 A 中的观测数

nb = 组 B 中的观测数

需要更多信息?有问题?从 JMP 用户社区得到解答 (community.jmp.com).