对于响应序列 {yi},ARIMA 模型的一般形式为:

其中
t 是时间索引
B 是定义为 Byt = yt - 1 的后移算子
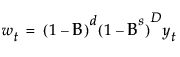
wt = (1 - B)d yt 是差分后的响应序列
μ 是截距或均值项
φ(B) 和 θ(B) 分别为自回归算子和移动平均算子,表示为:


其中
at 是随机扰动项序列
假定 at 独立,服从均值为零且方差为常数的正态分布。
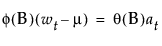
该模型可以改写为:

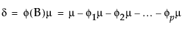
常数估计值 δ 由以下关系等式给出:

在季节性 ARIMA 建模过程中,差分、自回归和移动平均算子是季节性和非季节性多项式的乘积:



其中 s 是每周期观测数。系数的第一个下标是因子编号(1 表示非季节性,2 表示季节性),第二个下标为滞后项。