对于Figure 6.5 中在 x 轴上标绘所有 X,分组变量的第一个图而言,“一致性百分比”计算如下:

对于在Figure 6.5 中在 x 轴上标绘所有 Y,响应变量的第二个图而言,“一致性百分比”计算如下:

请注意以下事项:
• n = 部件(分组变量)的数目
• ri = 部件 i (i = 1,...,n) 的重复次数
• m = 评级员数
• k = 水平数
• Ni = m x ri。针对部件 i (i = 1,...,n) 的评级数。其中包含所有评级员的响应,以及针对某部件的重复评级次数。例如,若 3 个评级员每人给部件 i 测量了 3 次,则 Ni 为 3 x 3 = 9。
例如,请考虑下面这个包含三个评级员的数据表,每个评级员都有关于一个部件的三次重复。
|
|
A |
B |
C |
|---|---|---|---|
|
1 |
1 |
1 |
1 |
|
2 |
1 |
1 |
0 |
|
3 |
0 |
0 |
0 |
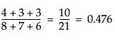
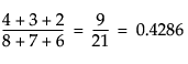
使用该表,您可以执行以下计算:
一致性百分比 =
一致性百分比 [评级员 A] = 一致性百分比 [评级员 B] = 
一致性百分比 [评级员 C] =