可靠性验证取决于尺度参数为 σ 的假定失效时间分布。可靠性标准(或时间 t 时的生存概率)和位置 μ 指定如下:

其中,μ 使用以下等式求解:

为了计算样本大小和检验大小,将在时间 t 时生存的概率视为假设检验:

其中 p* 是在时间 t* 时生存的标准概率。
我们想按以下方式检验该假设(α 水平下):
α = Pr(k 或更少失效 | H0 为 true)。
因为该检验涉及 n 个独立单元,失效数具有二项 (n, p) 分布,其中 p 是某单元在时间 t 前失效的概率。因此,我们可以将 α 表示为 t 和 n 的函数:

其中 μ* 和 σ* 来自假定的可靠性标准。
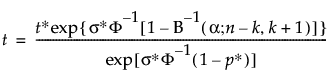
二项和 beta 分布的属性使我们可以使用以下公式求解 t 值:

对于 n,Brent 方法用于查找以下等式的根:

其中:
B−1(α; n − k, k + 1) 是 Beta(n − k; k + 1) 分布的 α 分位数
Φ() 是假定的失效时间分布的累积分布函数。
有关 JMP 中计算的详细信息,请参见 Barker(2011,第 5 节)。