刻画器指南 > 模拟器 > 模拟器的统计详细信息
发布日期: 04/13/2021

模拟器的统计详细信息

正态加权分布

JMP 将多元径向分层方法用于使用“正态加权”分布的每个因子。这似乎比使用很多重要性抽样方法效果好,并且在极端尾部中估计时是准确的。

首先,定义层数。层是一个以 0 为中心的超球面网。对于 d 个随机因子,层按其径向间隔定义,如下所示。

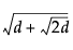
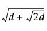
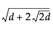
表 8.1 层间隔 

层数

内部距离

外部距离

0

0

Equation shown here

1

Equation shown here

Equation shown here

2

Equation shown here

Equation shown here

Equation shown here

Equation shown here

Equation shown here

Equation shown here

Equation shown here

Equation shown here

默认层数为 16。要更改层数,请使用隐藏的命令“层数”,在点击“模拟器”旁边的红色小三角菜单时按住 Shift 键可显示该命令。根据需要增加样本大小以保持层数为偶数。

对于每个模拟试验都执行以下操作:

1. 选择一个层作为 mod(i – 1, N)(针对第 i 次运行)。

2. 通过将多元正态分布 (0,1) 偏差缩放为单位范数,确定随机 n 维方向。

3. 使用对随机均匀参数的层合适的卡方分位数确定随机距离。

4. 缩放变量以便范数为随机距离。

5. 分别按每个因子指定的方式来缩放并变量中心化。

使用正确的权重估计时,所得的因子分布为具有合适的均值和标准差的多元正态分布。请注意,您不能将分布标准差与权重一起使用,因为它不估计期望的值。但是,将权重与一个较大的值(如 1012)相乘,然后使用所得的值作为频数值可以得到正确的标准差。

需要更多信息?有问题?从 JMP 用户社区得到解答 (community.jmp.com).