发布日期: 04/13/2021

Stress

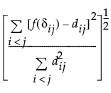
使用以下符号定义 Stress:

i, j - 对象数的下标

dij - 对象 i 与 j 之间的派生距离

δij - 对象 i 与 j 之间的观测相对距离

f(δrs) - 距离的变换函数

Stress 函数的表达式如下:

Stress = Equation shown here

这一 Stress 测度亦称 Kruskal Stress I 型,或简称 Stress1。

需要更多信息?有问题?从 JMP 用户社区得到解答 (community.jmp.com).