R 方 (U) 的计算方式如下:

通过拟合总样本的固定响应率来获得负对数似然合计。
两个卡方检验如下所示:
“似然比卡方”检验统计量的计算方式为:“检验”表中模型的负对数似然的两倍。某些书使用符号 G2 表示该统计量。两个负对数似然的差值(一个具有整个总体的响应概率,一个具有每个总体的响应率)的计算公式如下:
其中
,
该公式可以简写为:

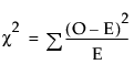
通过对观测到的单元格计数和单元格的期望计数的差值求平方和来计算 Pearson 卡方检验统计量。Pearson 卡方检验揭示在样本很大时频数统计趋向于正态分布这个特性。该卡方统计量的熟悉形式如下所示:

其中 O 是观测到的单元格计数,E 是期望的单元格计数。对所有单元格求和。此处没有进行连续校正,有时在 2x2 表中会进行这样的校正。