一些多元方法需要计算协方差矩阵的逆矩阵。本节说明如何使用 SVD 来计算协方差矩阵的逆矩阵。
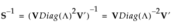
用 Xs 表示标准化数据矩阵并定义 S = Xs′Xs。奇异值分解允许您将 S 表示为:

若 S 是满秩的,则 V 是 p x p 正交矩阵,您可以将 S-1 表示为:

若 S 不是满秩的,则 Diag(Λ)-1 可以使用广义逆矩阵 Diag(Λ)+ 代替,其中 Diag(Λ) 的对角线元素用其倒数替代。这便按以下方式定义 S 的广义逆矩阵:

该广义逆矩阵只使用 SVD 就可以计算得到。
有关将 SVD 应用于宽线性判别分析的详细信息,请参见宽线性判别方法。