发布日期: 04/13/2021

时间序列图

时间序列图按时间 ID 标绘每个时间序列。若未指定时间 ID,则使用行号。平台还使用 Augmented Dickey-Fuller (ADF) 检验执行几个平稳性检验。以下检验和汇总统计量显示在时间序列图旁边:

均值

样本均值。

标准差

样本标准差。

数目

序列长度。

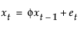
零均值 ADF

针对均值为零的随机漫步的检验,定义如下:

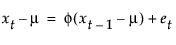
单一均值 ADF

针对均值不为零的随机漫步的检验,定义如下:

趋势 ADF

针对均值不为零且具有线性趋势的随机漫步的检验,定义如下:

需要更多信息?有问题?从 JMP 用户社区得到解答 (community.jmp.com).