实验设计指南 > 前瞻样本大小与功效 > “双样本均值”计算器
发布日期: 04/13/2021

“双样本均值”计算器

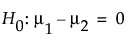
使用“双样本均值”计算器计算有关两个均值的假设检验的样本大小。探索诸如以下的问题:对于给定的样本大小、显著性水平、所需的功效和假定的数据中的变异,处理效应需要多大才能检测出来?样本大小与功效与以下假设检验相关联:

Equation shown here

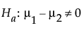
与双侧备择假设:

Equation shown here

其中 μ1μ2 是两个总体的真实均值。假定相关总体服从正态分布,且您要检测两个均值之间的差值 δ

需要更多信息?有问题?从 JMP 用户社区得到解答 (community.jmp.com).