实验设计指南 > 前瞻样本大小与功效 > “双样本比例”计算器
发布日期: 04/13/2021

“双样本比例”计算器

使用“双样本比例”计算器计算有关两个比例的假设检验的样本大小。样本大小与功效与以下假设检验相关联:

Equation shown here

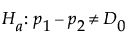
与双侧备择假设:

Equation shown here

或与以下某个单侧备择假设:

Equation shown here

其中 p1p2 是来自两个总体的总体比例,D0 是假设的比例差值。

双比例计算器还提供实际检验大小。这是指定假设下的实际 I 类误差率。因为二项分布是离散的,对于接近 0 或 1 的小样本或比例,实际检验大小可能与指定的 Alpha 水平有很大不同。

需要更多信息?有问题?从 JMP 用户社区得到解答 (community.jmp.com).