通过“选择”模型的参数估计值我们能够获得消费者有关“选择列”红色小三角菜单中的选项的详细信息,请参见显示缺陷项的数目JMP或线性效用函数中的边缘效用。效用反映了消费者对具有特定特性的产品的满意度水平,由模型的参数估计值确定。
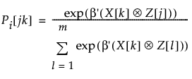
选择模型的统计公式可表示如下:
用 X[k] 表示一个具有截距的对象特性设计行。
用 Z[j] 表示一个没有截距的选择特性设计行。
则第 k 个对象相对 m 个选择中的第 j 个选择做出给定选择的概率为:

其中:
‒ ⊗ 是 Kronecker 逐行乘积
‒ 分子用于计算实际选择的第 j 个备选
‒ 分母对提供给该测试对象的 m 个选择求和