预测和专业建模
>
高斯过程
>
“高斯过程”平台的统计详细信息
> 方差公式参数化
发布日期: 04/13/2021
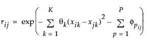
方差公式参数化
保存的方差公式使用以前定义的
R
的参数化,但在模型包括分类预测变量时例外。当高斯过程模型包含分类预测变量时,保存的方差公式将使用
R
的以下参数化:
其中,
和所有其他变量都和以前定义的一样。
需要更多信息?有问题?从 JMP 用户社区得到解答
(community.jmp.com)
.
本网站在启用 JavaScript 的情况下效果最佳。