调整功效的计算 (Wright and O’Brien 1988) 仅与回顾功效分析有关。执行调整功效的计算时,使用非中心参数估计值,该值已经过调整,消除了在简单地用样本估计值替代参数时导致的正偏倚。
非中心参数 λ 的估计值通过用样本估计值来估计 δ 和 σ 得到,它的公式计算如下:

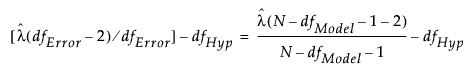
Wright and O’Brien (1988) 说明了如何用以下公式给出非中心参数的无偏估计值:

右侧的表达式说明当样本大小 N(与研究大小 n 不同时)被建议用于回顾功效分析时,如何计算无偏非中心参数。其中 dfHyp 表示假设的自由度,dfModel 表示整体模型的自由度。
遗憾的是,这样调整非中心估计值可能导致负值,而将负值设置为零又会带来轻微的偏倚。调整的非中心估计值为

调整的功效为
功效调整 =
按 Dwass (1955) 所述的方法来构造非中心参数的置信限:
λ 的置信下限 = 
λ 的置信上限 = 
通过将 λ 的这些置信限替换为以下等式来获取功效的置信限:
功效 =