各个意愿函数都是经过三个定义点的平滑分段函数。这些点被称为控点(低,中间,高),可用于交互控制意愿函数的形状。
• “最小化”和“最大化”函数是三部分的分段平滑函数,它们由控点间的立方内插值和尾部的指数组成。
• “目标”函数是一个分段函数,该函数是中间值的每边上(每边具有不同的曲线)正态密度的尺度倍数,它还是分段平滑的并拟合控点。指数函数拟合尾部。
• “无”函数支持指定任意意愿函数。特别是,您可以指定“中间”值的意愿比“低”值和“高”值的意愿低。您还可以使用公式构造定制意愿函数。请参见定制意愿函数。
不允许“低”和“高”控点一直延伸到 0 或 1。当意愿值在最大化值、目标值和最小化值之间切换时,采用这种方法构造意愿函数可以得到良好的表现。
注意:JMP 不使用 Derringer and Suich (1980) 函数形式。由于它们不是平滑函数,所以不一定总能与 JMP 的优化算法配合良好。
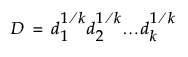
要优化多个响应时,构造并优化一个整体意愿函数。所有响应的整体意愿定义为各个响应的意愿函数的几何均值。
将 k 个响应的各个意愿函数用 d1, d2,...,dk 表示。整体意愿函数则是这些意愿函数的几何均值。

若“重要性”值已作为“响应限”列属性的一部分定义或在“响应目标”窗口中定义,则将它们集成到整体意愿函数。调整“重要性”值的尺度以使它们的和为 1。用 w1, w2, ..., wk 表示已统一尺度后的“重要性”值。然后将整体意愿定义为单个意愿函数的加权几何均值:

用于优化整体意愿函数或单个意愿函数(若只有一个响应)的方法取决于因子类型。
• 对于分类因子,使用坐标交换算法。
• 对于连续因子,使用梯度下降算法。
• 存在约束或混料因子时,使用 Wolfe 简化梯度方法。
• 为了降低找到局部最优值的风险,JMP 使用多次随机开始。