收敛得分检验收敛失败警告显示以下假设的得分检验:未知最大似然估计值 (MLE) 与模型拟合算法的最后一次迭代中给出的参数一致。该假设检验是可能实现的,因为相对梯度准则在代数上等价于得分检验统计量。显然得分检验不需要知道真实 MLE。
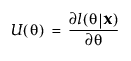
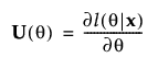
得分检验首先考虑单个参数 θ 的情况。假定 l 是 θ 的对数似然函数,x 是数据。得分是对数似然函数对 θ 的导数:

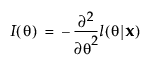
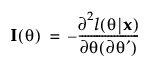
观测信息是:

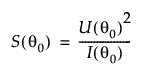
H0: θ = θ0 的得分检验的统计量为:

该统计量在原假设下服从自由度为 1 的渐近卡方分布。
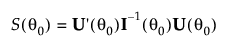
得分检验可以推广到多个参数。考虑参数 θ 的向量。那么 H0: θ = θ0 的得分检验的检验统计量为:

其中

且

U′ 表示矩阵 U 的转置矩阵。
检验统计量服从自由度为 k 的渐近卡方分布。其中 k 是无界参数的数目。
相对梯度“混合模型”拟合过程的收敛准则基于相对梯度 g′H-1g。在此,g(θ) = U(θ) 是对数似然函数的梯度,H(θ) = −I(θ) 是它的 Hessian。
用 θ0 表示算法终止时的 θ 值。请注意,在 θ0 处计算出的相对梯度为得分检验统计量。使用具有 k 个自由度的卡方分布计算 p 值。该 p 值指示未知的 MLE 值是否与 θ0 一致。“随机效应协方差参数估计值”报表中列出的无界参数数目等于 k。