发布日期: 11/15/2021

Cronbach α

Cronbach α 值定义如下:

Equation shown here

其中

k = 尺度范围中的项目数

c = 项目之间的平均协方差

v = 项目之间的平均方差

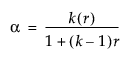
若项目经过标准化具有常数方差,公式将变为

Equation shown here

其中

r = 项目之间的相关性平均值

总体 α 系数越大,您越能够自信地认为您的项目对尺度或检验的信度有贡献。若有许多高度相关的项目,该系数可能接近 1.0。

需要更多信息?有问题?从 JMP 用户社区得到解答 (community.jmp.com).