对于在“拟合模型”平台的“标准最小二乘法”特质中拟合的模型,因子设置的杠杆率用作外推量度。
第 i 个观测的杠杆率 hii 是矩阵 X(X′X)-1X′(有时称为帽子矩阵)的第 i 个对角线元素。新预测点的杠杆率计算如下:hpred = x′pred(X′X)-1xpred。以下两个准则可用于确定具有杠杆率 hpred 的预测是否为外推:
• hpred > K × max(hii),其中 K 是可定制的乘数
• hpred > L × p/n,其中 L 是可定制的乘数,p 是变量数,n 是观测数,p/n 是平均杠杆率
可以使用“设置阈值准则”选项指定使用哪种准则以及乘数的值。默认乘数值为 K = 1 和 L = 3。
注意:从“图形”菜单运行的刻画器上的外推控制若使用保存的最小二乘法模型,则不执行杠杆方法,改为使用“正则 Hotelling T2”方法。
在最小二乘法模型之外的模型中,正则 Hotelling T2 值用作外推量度。训练数据的 T2 值和预测点的 T2 值计算如下:


其中
是对训练数据估计的 Schafer 和 Strimmer 正则协方差矩阵估计量。用于 Schafer Strimmer 估计量的目标矩阵是对角协方差矩阵。请参见 Schafer and Strimmer (2005)。在使用带有缺失值的观测训练模型的平台中,用配对删除来估计协方差矩阵。
注意:在上述计算中,分类变量要转换为指标变量。
阈值的计算取决于根据训练数据计算的非缺失 T2 值的数量。
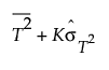
• 若有十个或更多非缺失 T2 值,则阈值设置如下:

其中
K 是可定制乘数且默认设置为 3
是 T2 值的标准差。
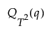
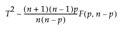
• 若非缺失值 T2 不足十个,则使用等价于 Kσ 限值的 F 分布分位数来设置阈值。

其中
q= Φ(K)
Φ(·) 是标准正态分布
K 是可定制乘数且默认设置为 3

p 是参数个数
r 是非缺失 T2 值的个数