发布日期: 11/15/2021

拟合线

拟合线选项为拟合点的直线查找参数 β0β1,以使残差平方和最小化。第 i 行的模型表示为 yi = β0 + β1xi + εi

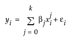
二次多项式是一条抛物线;三次多项式是一条三次曲线。对于 k 次,第 i 个观测的模型定义如下:

Equation shown here

需要更多信息?有问题?从 JMP 用户社区得到解答 (community.jmp.com).