“函数汇总”报表包括以下汇总统计信息:积分差值、积分平方根误差 (RISE) 和积分函数平方根 (RIFS)。这些汇总统计量在本节中定义。对于本节中的所有方程,假设输入值已在 0 和 1 之间对齐 。所有函数都使用以下符号:
是曲线 i 在输入值 x 处的估计函数
是输入值 x 处的估计均值函数
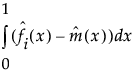
积分差值是 ID 特定曲线上的点与总体均值曲线上的点的平均差值。它可用于确定 ID 特定曲线平均来说是落在均值曲线之上还是之下。曲线 i 的积分差值定义如下:
IDi = 
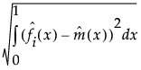
积分平方根误差 (RISE) 是 ID 特定曲线与总体均值曲线之间的平均距离。它可用于确定哪些 ID 特定曲线与总体均值曲线最相似或最不同。曲线 i 的 RISE 汇总值定义如下:
RISEi = 
积分函数平方根 (RIFS) 是用于分析最优设计曲线方案的汇总值。若预先减去最优曲线,则可以使用 RIFS 的最小值来确定哪些函数最接近最优曲线。曲线 i 的 RIFS 汇总值定义如下:
RIFSi = 