发现 JMP > JMP 图形库
发布日期: 11/15/2021

JMP 图形库

各种图形及其平台

下面是您可以使用 JMP 创建的许多图形的一些图片。每张图片都标注了用于创建它的平台。有关平台及其图形的详细信息,请参见帮助 > 手册菜单上的文档。

Image shown here

直方图

分析 > 分布

Image shown here

二元

分析 > 以 X 拟合 Y

Image shown here

单因子

分析 > 以 X 拟合 Y

Image shown here

单因子 t 检验

分析 > 以 X 拟合 Y

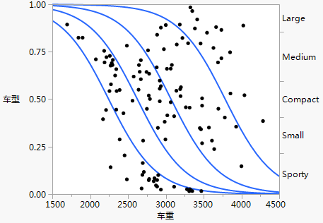
Image shown here

Logistic

分析 > 以 X 拟合 Y

Image shown here

马赛克图

分析 > 以 X 拟合 Y

Image shown here

配对

分析 > 专业建模 > 配对

Image shown here

杠杆率图

分析 > 拟合模型

Image shown here

最小二乘均值图

分析 > 拟合模型

Image shown here

多元方差分析

分析 > 拟合模型

Image shown here

分割

分析 > 预测建模 > 分割

Image shown here

神经关系图

分析 > 预测建模 > 神经

Image shown here

预测值-实际值

分析 > 预测建模 > 模型比较

Image shown here

非线性拟合

分析 > 专业建模 > 非线性

Image shown here

曲面刻画器

分析 > 专业建模 > 高斯过程

Image shown here

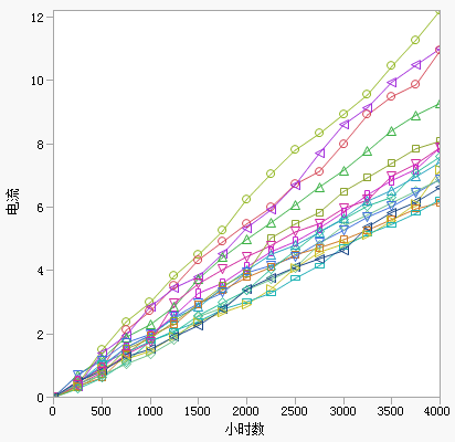
时间序列

分析 > 专业建模 > 时间序列

Image shown here

筛选

分析 > 专业建模 > 专业实验设计模型 > 拟合两水平筛选

Image shown here

FDR p 值图

分析 > 筛选 > 响应筛选

Image shown here

散点图矩阵

分析 > 多元方法 > 多元

Image shown here

树状图

分析 > 聚类 > 层次聚类

Image shown here

自组织图

分析 > 聚类 > K 均值聚类

Image shown here

主成分

分析 > 多元方法 > 主成分

Image shown here

典型图

分析 > 多元方法 > 判别

Image shown here

载荷图

分析 > 多元方法 > 偏最小二乘

Image shown here

均值图和 R 图

分析 > 质量和过程 > 控制图生成器

Image shown here

平均图

分析 > 质量和过程 > 测量系统分析

Image shown here

变异性图

分析 > 质量和过程 > 变异性/计数量具图

Image shown here

目标图

分析 > 质量和过程 > 过程能力

Image shown here

单个度量值图

移动极差图

分析 > 质量和过程 > 控制图 > 单值极差

Image shown here

均值控制图

分析 > 质量和过程 > 控制图 > 均值

Image shown here

Pareto 图

分析 > 质量和过程 > Pareto 图

Image shown here

石川图

鱼骨图

分析 > 质量和过程 > 关系图

Image shown here

比较分布

分析 > 可靠性和生存 > 寿命分布

Image shown here

非参数叠加

分析 > 可靠性和生存 > 以 X 拟合寿命

Image shown here

散点图

分析 > 可靠性和生存 > 以 X 拟合寿命

Image shown here

MCF 图

分析 > 可靠性和生存 > 复发分析

Image shown here

叠加

分析 > 可靠性和生存 > 退化

Image shown here

预测区间

分析 > 可靠性和生存 > 破坏性退化

Image shown here

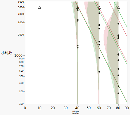
预测

分析 > 可靠性和生存 > 可靠性预测

Image shown here

分段 Weibull NHPP

分析 > 可靠性和生存 > 可靠性增长

Image shown here

可靠性框图

分析 > 可靠性和生存 > 可靠性方框图

Image shown here

失效图

分析 > 可靠性和生存 > 生存

Image shown here

生存分位数

分析 > 可靠性和生存 > 拟合参数生存

Image shown here

基线生存

分析 > 可靠性和生存 > 拟合比例风险

Image shown here

混料刻画器

分析 > 消费者研究 > 分类

Image shown here

因子载荷图

分析 > 多元方法 > 因子分析

Image shown here

预测刻画

分析 > 消费者研究 > 选择

Image shown here

特征曲线

分析 > 多元方法 > 项目分析

Image shown here

多重对应分析

分析 > 多元方法 > 多重对应分析

Image shown here

提升模型

分析 > 消费者研究 > 提升

Image shown here

对偶图

分析 > 多元方法 > 项目分析

Image shown here

线图

图形 > 图形生成器

Image shown here

箱线图

图形 > 图形生成器

Image shown here

堆叠条形图

图形 > 图形生成器

Image shown here

饼图

图形 > 图形生成器

Image shown here

针线图

图形 > 图形生成器

Image shown here

平滑线

图形 > 图形生成器

Image shown here

三维散点图

图形 > 三维散点图

Image shown here

三维散点图

图形 > 三维散点图

Image shown here

等高线图

图形 > 图形生成器

Image shown here

气泡图

图形 > 气泡图

Image shown here

平行图

图形 > 图形生成器

Image shown here

方格图

图形 > 方格图

Image shown here

矩形树图

图形 > 图形生成器

Image shown here

散点图矩阵

图形 > 散点图矩阵

Image shown here

三元图

图形 > 三元图

Image shown here

预测刻画器

图形 > 刻画器

Image shown here

等高线刻画器

图形 > 等高线刻画器

Image shown here

曲面图

图形 > 曲面图

Image shown here

混料刻画器

图形 > 混料刻画器

Image shown here

多维尺度化

分析 > 多元方法 > 多维尺度化

Image shown here

MaxDiff

分析 > 消费者研究 > MaxDiff

Image shown here

应力模式图

分析 > 可靠性和生存 > 累积损坏

Image shown here

可修复系统模拟

分析 > 可靠性和生存 > 可修复系统模拟

Image shown here

潜在类分析

分析 > 聚类 > 潜在类分析

Image shown here

预测变量筛选

分析 > 筛选 > 预测变量筛选

Image shown here

过程筛选

分析 > 筛选 > 过程筛选

Image shown here

文本分析器

分析 > 文本分析器

Image shown here

多因子分析

分析 > 消费者研究 > 多重因子分析

Image shown here

模型驱动的多元控制图

分析 > 质量和过程 > 模型驱动的多元控制图

Image shown here

结构化方程模型

分析 > 多元方法 > 结构化方程模型

Image shown here

支持向量机

分析 > 预测建模 > 支持向量机

需要更多信息?有问题?从 JMP 用户社区得到解答 (community.jmp.com).