JMP 中的很多统计模型使用称为最大似然的方法进行拟合。该方法通过最大化似然函数设法估计模型的参数(它通常用 β 表示)。似然函数(用 L(β) 表示)是在观测的数据值处求得的概率密度函数(或用于离散分布的概率质量函数)之积。给定观测的数据,最大似然估计设法找到使 L(β) 最大化的参数 β 的值。
不必使似然函数 L(β) 最大化,使用似然函数的自然对数的负数 -Log L(β) 更方便。使 L(β) 最大化的问题转换为最小化问题,此时您设法使负对数似然(-对数似然 = -Log L(β))最小化。因此,较小的负对数似然值或负对数似然值的两倍(-2对数似然)指示更好的模型拟合。
通过使用 JMP 中不同的平台,您可以使用负对数似然的值选择模型并执行比较模型拟合效果的定制假设检验。这通过使用似然比检验来完成。在很多 JMP 平台中报告 -2 对数似然的一个原因是完全模型和简化模型 -2 对数似然值的差值是逐近的卡方分布。与这个似然比检验关联的自由度等于两个模型中参数数目的差值 (Wilks 1938)。
校正的 Akaike 信息准则 (AICc) 和 Bayesian 信息准则 (BIC) 是基于信息的评估模型拟合的准则。两者均基于 -2 对数似然。
按以下方式定义 AICc:

其中,k 是模型中估计参数的个数,n 是模型中使用的观测数。可以使用该值比较同一数据集的各种模型以确定最佳拟合模型。具有最小值的模型,如 Akaike (1974) 中所述,通常是首选模型。
按以下方式定义 BIC:

其中,k 是模型中估计参数的个数,n 是模型中使用的观测数。比较两个模型的 BIC 值时,BIC 值更小的模型被认定为拟合效果更好。
对使用更多参数的模型,BIC通常比AICc对模型惩罚更多。因此,这导致与 AICc 相比,BIC 选择更简化的模型,即具有更少参数的模型。有关 AICc 和 BIC 的详细比较,请参见 Burnham and Anderson (2004)。
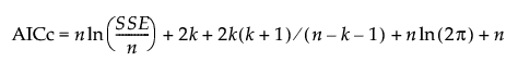
在最小二乘回归的情况下,也可以基于误差平方和 (SSE) 计算 AICc 和 BIC。根据 SSE,AICc 和 BIC 定义如下:


其中,k 是模型中估计参数的个数,n 是模型中使用的观测数,SSE 是模型中的误差平方和。