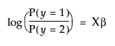
使用 logit 模型的简单扩展来分析名义型响应。对于二值(二水平)响应,logit 响应模型指定如下:

上面的等式也可以写为:

其中 F(x) 是标准 Logistic 分布的累积分布函数:

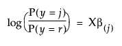
对于 r 个响应水平,JMP 拟合响应是数据值所给定的 r 个不同响应水平之一的概率。概率估计值必须均为正值。对于给定的 Xs 配置,响应水平上的概率估计值之和必须为 1。JMP 用于预测概率的函数是线性模型和多响应 Logistic 函数的组合。这有时称为对数线性模型,因为概率比的对数是线性模型。JMP 将每个响应概率与第 r 个概率关联并对这 r - 1 个模型分别拟合一组设计参数。
对于 
该拟合原理称为最大似然。它估计参数以使数据给定的所有响应的联合概率为可从模型获得的最大概率。不直接报告联合概率(似然),报告似然的负对数合计更方便。
不确定性(负对数似然)是概率的负对数之和,该概率通过模型归因于在样本数据中实际发生的响应。对于大小为 n 的样本,它通常表示为 H,计算公式如下:

若将概率 1 归因于已发生的每个事件,则对于完全拟合,负对数之和为零。
名义型模型的拟合会需要很长时间并且占用很多内存,有很多响应水平时更是如此。JMP 使用迭代历史记录跟踪计算进度,该记录显示负对数似然值在收敛到估计值的过程中逐渐变小。
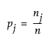
名义型响应的最简单模型是一组常数响应概率,它们拟合为整个数据表上每个响应水平的发生率。换句话说,y 是响应水平 j 的概率用每个响应水平的总计 nj 除以总样本计数 n 来估计。该概率指定如下:

其他所有模型都与该基本模型进行比较。基本模型对于名义型响应的作用就像样本均值对于连续模型的作用一样。
R2 统计量测量模型所解释的不确定性部分,公式为:

但是,实际上对于分类模型 R2 接近 1 的情况很少见。