发布日期: 11/15/2021

正态分位数图

每个值的经验累积概率计算如下:

Equation shown here

其中,ri 是第 i 个观测的秩,N 是非缺失(且未排除)观测的个数。

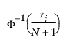
正态分位数值计算如下:

Equation shown here

其中 Φ 是正态分布的累积概率分布函数。

这些正态分位数值是对正态分布应有的次序统计量的 Van Der Waerden 近似。

需要更多信息?有问题?从 JMP 用户社区得到解答 (community.jmp.com).