基本分析
>
列联分析
>
“列联”平台的统计详细信息
> “优势比”选项
发布日期: 11/15/2021
“优势比”选项
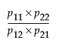
优势比的计算方式如下:
其中
p
ij
是 2x2 表的第
i
行第
j
列中的计数。
需要更多信息?有问题?从 JMP 用户社区得到解答
(community.jmp.com)
.
本网站在启用 JavaScript 的情况下效果最佳。