本节说明如何计算整个分类效应的检验功效。使用以下符号:
X
模型矩阵。请参见别名矩阵。

参数的向量。

β 的最小二乘估计值。

预期系数值的向量。

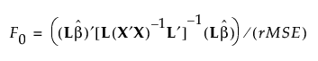
定义分类效应的检验的矩阵。矩阵 L 标识 β 中对应于分类效应的参数值并将它们设置为 0。分类效应检验的原假设为:

r
L 的秩。或者,r 为分类效应的水平数减去 1。
注意:您可以通过运行“拟合模型”来查看设计矩阵。然后从主报表的红色小三角菜单选择保存列 > 保存编码表。
的协方差矩阵由
给出,其中 σ2 为误差方差。
误差方差 σ2 由均方误差估计得出,具有 n − p − 1 个自由度,其中:n 是观测数,p 是模型中除截距之外的项数。若 n − p − 1 = 0,则 JMP 将误差的自由度设置为 1。这允许在饱和设计中估计参数的功效。
检验表示为:

在原假设下,检验统计量 F0 具有自由度为 r 和 n − p − 1 的 F 分布。
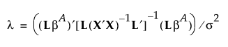
若 β 的真实值为
,则 F0 具有非中心 F 分布,其非中心参数由以下公式给出:

要计算检验功效,首先要求解 α 水平临界值 Fc:

然后按照如下方式计算功效:
