当因子值不太可控,而要根据因子值变异刻画响应变异的特性时,误差传播 (POE) 十分重要。
在 JMP 实现中,“预测刻画器”首先查看因子和响应变量以检查是否存在 Sigma 列属性(用于指定列的标准差,可通过“列”>“列信息”对话框访问)。若该属性存在,则可通过“预测刻画器”下拉菜单访问“误差传播直条”命令。这将会显示因为因子变异而在响应上隐含的 3σ 区间。
图 3.37 “预测刻画器”中的绿色误差传播直条
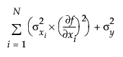
误差传播在图形中通过绿色方括号来表示。方括号指示预测值加/减三倍的误差传播方差平方根。误差传播方差可表示如下:

其中 σy 是响应列的用户指定的 sigma,σx 是因子列的用户指定的 sigma。
当前,通过数值导数来计算这些偏导数:
centered, with δ=xrange/10000
当您处于响应曲面较陡峭的部分时,响应曲面模型中的误差传播限值会显著增加。稳健过程的目标之一是在响应曲面的平缓区域操作,这样因子中的变异不会放大其对响应的效应。