该选项将名为“矩量矩阵”和“模型矩阵”的脚本(它们分别包含矩量矩阵和模型矩阵)保存至设计数据表。矩量矩阵和模型矩阵用于计算“预测平均方差”,该方差显示在“设计评估”分级显示项的“设计诊断”部分中。请参见 Goos and Jones (2011)。若设计属于裂区设计,则还会保存“V 求逆”脚本。“V 求逆”脚本包含响应的协方差矩阵的逆协方。
警告:对于包含名义型因子的设计,使用“保存 X 矩阵”选项保存的“模型矩阵”不是拟合线性模型时使用的编码矩阵。通过在运行“模型”脚本时获取的“拟合模型”报表中选择选项“保存列”>“保存编码表”,您可以获取用于拟合模型的编码矩阵。
注意:您可以通过设置首选项始终保存矩阵脚本。选择文件 > 首选项 > 平台 > 实验设计。选中“保存 X 矩阵”。
模型矩阵描述实验设计。在模型矩阵中,每次试验都对应一行,“模型”分级显示项中指定的每一个模型项都对应一列。对于每次试验,模型矩阵的相应行中都会包含模型项的编码值:
• 连续项按照从 -1 到 1 的范围来编码。
• 对在线性模型拟合中使用到的编码向量,通过应用 Gram-Schmidt 正交过程对名义项编码。
有关 Gram-Schmidt 正交过程的详细信息,请参见 Horn and Johnson (2012)。
注意:功效分析的编码与拟合线性模型的编码相匹配。有关用于拟合线性模型的名义型项的编码的信息,请参见《拟合线性模型》中的名义型效应的编码。
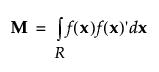
矩量矩阵依赖模型效应但不依赖设计。其定义如下:

其中,f(x) 表示与因子向量 x 的因子组合对应的模型效应,R 表示设计空间。有关矩量和设计矩阵的更多详细信息,请参见 Goos and Jones (2011) 和 Myers et al. (2009)。请注意,矩量矩阵在 Myers et al. (2009)。
从“定制设计”红色小三角菜单中,选择保存 X 矩阵。创建设计和表之后,在定制设计表中,“矩量矩阵”和“模型矩阵”脚本以及“V 求逆”脚本(若设计为裂区)都将另存为表脚本。
• 右击并从“矩量矩阵”、“模型矩阵”或“V 求逆”脚本选择编辑。脚本将显示对应的矩阵。您可以将该矩阵复制到您编写的脚本中。
• 运行“矩量矩阵”脚本时,日志中显示矩量矩阵中的行数(称为“矩”)。
• 运行“模型矩阵”脚本时,日志中显示模型矩阵中的行数(称为 X)。
• 运行“V 求逆”脚本时,日志中显示逆协方差矩阵中的行数(称为“V 求逆”)。
本例演示模型矩阵脚本的用法:
提示:要查看日志,请选择视图 > 日志(在 macOS 上为窗口 > 日志)。
1. 选择实验设计 > 定制设计。
2. 添加 3 个连续因子并点击继续。
3. 点击交互作用 > 二次。
4. 点击“定制设计”红色小三角并选择保存 X 矩阵。
5. 使用默认试验次数 (12),依次点击制作设计和制表。
6. 在“表”面板中,右击“矩量矩阵”脚本并选择编辑。
脚本显示在脚本窗口中。该脚本显示称为矩的矩量矩阵。
图 4.28 “矩量矩阵”脚本
7. 若该脚本尚未打开,请选择视图 > 日志(在 macOS 上为窗口 > 日志)。
8. 在“表”面板中,点击“矩量矩阵”脚本旁边的绿色小三角。
日志中显示的行数为 N Row(Moments)=7。
9. 在“表”面板中,右击“模型矩阵”脚本并选择编辑。
脚本显示在脚本窗口中。该脚本显示称为 X 的模型矩阵。
10. 点击运行。
日志中显示的行数为 N Row(X)=12。
11. 要以数据表形式查看模型矩阵,请向脚本中添加以下行:
dt = New Table( "Model Matrix" );
dt << Set Matrix( X );12. 点击运行。