实验设计指南 > 筛选设计 > “筛选设计”窗口
发布日期: 11/15/2021

“筛选设计”窗口

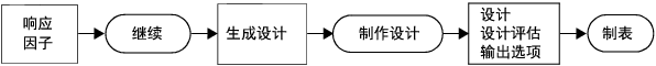
逐步执行设计步骤时,“筛选设计”窗口将相应更新。请参见实验设计工作流程:描述、指定、设计。显示的分级显示项用更新窗口的按钮分隔。它们遵循下图中的流程。

图 9.11 存在标准设计时的筛选设计流程 

Image shown here

图 9.12 不存在标准设计时的筛选设计流程 

Image shown here

需要更多信息?有问题?从 JMP 用户社区得到解答 (community.jmp.com).