发布日期: 11/15/2021

标准差检验

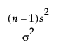
以下是计算该检验统计量的公式:

Equation shown here

当总体服从正态分布时,该检验统计量呈现自由度为 n - 1 的卡方变量的分布。

最小 p 值是双侧检验的 p 值,计算如下:

2*min(p1,p2)

其中,p1 是单尾 p 值下限,p2 是单尾 p 值上限。

需要更多信息?有问题?从 JMP 用户社区得到解答 (community.jmp.com).