BIBD 中的总观测数由以下等式决定:
N = ar = bk
其中
a 是处理数量
r 是每个处理出现在设计中的次数
b 是区组数
k 是每个区组中的处理数量
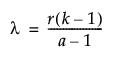
每对处理出现在其中的区组数量由以下公式计算得出:

其中,λ 必须是整数。
这些条件是 BIBD 存在的必需条件,不是充分条件。BIBD 平台提供可为其生成 BIBD 的值。
若选定“包含区组倍数”,则会将原始 BIBD 复制指定的倍数。附加(倍数)区组是原始设计的循环置换。副本中处理的位置不同于原件中的位置。
有关 BIBD 的详细信息,请参见 SAS Institute Inc.(2013)。