本节包含“离散拟合”菜单中的选项的统计详细信息。
注意:在 JMP 15 中更新了分布拟合的一些功能。本节详细介绍了以往 JMP 版本中为兼容目的而保留的旧功能。通过在变量的红色小三角菜单中选择连续拟合 > 启用旧版拟合器,可以使用这些功能。
有关 Poisson 分布拟合的详细信息,请参见拟合 Poisson。
该分布对于以下情况很有用:数据是多个 Poisson(μ) 分布的组合,每个 Poisson(μ) 分布都具有不同的 μ。从多个十字路口组合而来的事故总数就是这样的例子,此时事故数均值 (μ) 在不同十字路口之间是不同的。
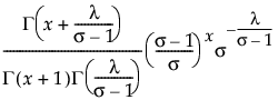
Gamma Poisson 分布的假设前提是:x|μ 服从 Poisson 分布,μ 服从 Gamma(α,τ) 分布。Gamma Poisson 包含参数 λ = ατ 和 σ = τ+1。参数 σ 是一个离散参数。若 σ > 1,则出现过度离散,这意味着 x 的变异比 Poisson 分布本身所解释的要大。若 σ = 1,x 将简化为 Poisson(λ)。
pmf:
0 < λ; 1 ≤ σ; x = 0,1,2,...
E(x) = λ
Var(x) = λσ
其中,Γ(·) 是 Gamma 函数。
请记住 x|μ ~ Poisson(μ),同时 μ~ Gamma(α,τ)。该平台估计 λ = ατ 和 σ = τ+1。要得到 α 和 τ 的估计值,请使用以下公式:


若 σ 的估计值为 1,则该公式无效。在这种情况下,Gamma Poisson 简化为 Poisson(λ),而且
是 λ 的估计值。
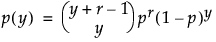
若 α 的估计值为整数,则 Gamma Poisson 等价于负二项分布,pmf 如下:
对于 0 ≤ y
r = α,(1-p)/p = τ。
运行 JMP Samples/Scripts 文件夹中的 demoGammaPoisson.jsl,比较带有参数 λ 和 σ 的 Gamma Poisson 分布与带有参数 λ 的 Poisson 分布。
有关二项分布拟合的详细信息,请参见拟合二项。
有关 beta 二项分布拟合的详细信息,请参见拟合 Beta 二项。