分布的统计详细信息
下面根据模型拟合中使用的参数给出了按“广义回归”特质拟合的分布。尽管没有专门在说明中指出,但是“广义回归”特质允许您对离散分布指定非整数值。
连续分布
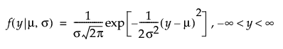
正态分布



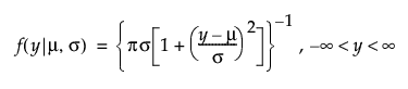
Cauchy 分布



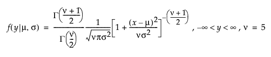
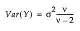
t(5) 分布



指数分布



Gamma 分布



Weibull 分布



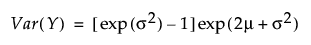
对数正态分布



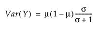
Beta 分布



离散分布
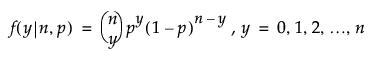
二项分布



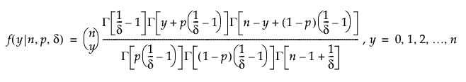
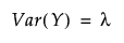
Beta 二项分布



Poisson 分布



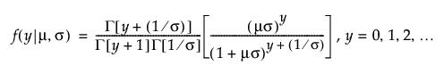
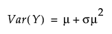
负二项分布



零泛滥分布
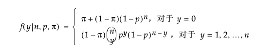
零泛滥二项分布



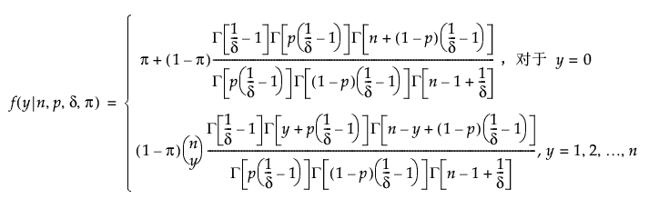
零泛滥 Beta 二项分布



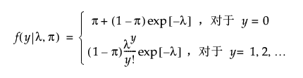
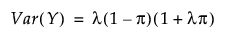
零泛滥 Poisson 分布



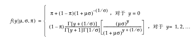
零泛滥负二项分布



零泛滥 Gamma 分布


