该部分包含“分类”平台的统计详细信息。
Rao-Scott 校正应用于多重响应的响应齐性检验。请参见 Lavassani et al.(2009)。
若存在多重响应,您可以有重叠样本,这意味着单个参与者可提供不止一个响应。Pearson 卡方检验不适用于多重响应,因为多重响应违反了 Pearson 卡方检验的独立性假设。此外,使用边缘合计计算的期望值受多重响应影响,因为若不允许多重响应则合计会变大。
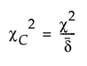
Rao-Scott 卡方统计量定义如下:

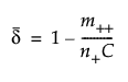
其中
是标准 Pearson 卡方统计量
是校正因子
校正因子包含以下量:
是多重响应的合计数
是参与者合计数
C 是响应水平数(交叉表中的列数)。
自由度为 (R-1)C 或行数减 1 后与列数的乘积。