“每单位计数”计算器的计算基于将正态近似应用到 Poisson 分布。该检验使用以下假设:

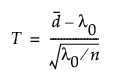
上述假设使用以下检验统计量:

其中 n 是样本大小,
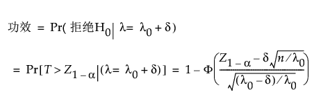
是样本中每单位缺陷数的均值。我们假定 T 近似于正态分布。功效计算基于原假设和备择假设下的 T 分布。

其中 Φ() 是标准正态累积分布函数,Z1-p 是标准正态分布的第 (1 - p) 分位数。
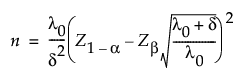
使用 1 - β 表示拒绝原假设的所需功效,样本大小按以下方式计算:

因为 δ 的分析解不存在,使用数值方法在给定功效 δ 和 n 的条件下求解。
有关 JMP 中计算的详细信息,请参见 Barker(2011,第 2.5 节)。