多因子分析将各个子表的信息组合到一组正交列中,这些列描述该表行中的各项。基本过程如下:
• 对每个子表执行 PCA。
• 记录每个子表的第一个特征值以创建权重矩阵。
• 并排拼接各子表,对矩阵进行中心化和标准化。
• 通过奇异值分解对拼接表执行广义 PCA。广义 PCA 用于通过子表权重来限制解。
这将生成广义右奇异向量、广义左奇异向量和奇异值这三个矩阵。随后使用这些矩阵得出跨各个子表的一致性的成分得分、特征值和成分载荷。这三个矩阵是将许多列从原始测量值分解为若干可解释的维的结果,这些维解释所测量的对象之间的相似性和差异。
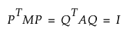
对于 MFA,X 矩阵的奇异值分解可定义如下:
带有约束 
矩阵用法如下所示:
X 是子表的 n x p 中心化和标准化矩阵。在消费者研究中,有 n 个产品和 p 个小组成员评级。
Q 是右奇异向量的 p x q 矩阵,这些向量经过 MFA 奇异值加权,可获取 q 个主成分的载荷。
Δ 是广义 PCA 的奇异值的 q x q 对角矩阵。与 PCA 一样,平方奇异值的量值(或特征值)表示每个主成分在组合分析中的重要性。
P 是左奇异向量的 n x q 矩阵,这些向量经过 MFA 奇异值加权,可获取折衷的 q 个主成分。
M 是量权重的 n x n 对角矩阵。
A 是区组或小组成员权重的 p x p 对角矩阵。
有关多因子分析的详细信息,请参见 Abdi et al. (2013)。
JMP 计算使用 N - 1 进行量权重计算。这些计算影响单个和区组部分得分。