单比例样本大小计算使用基于二项分布的精确方法。精确计算确保达到指定的功效水平。
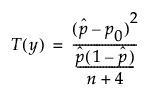
Agresti-Coull 精确区间估计方法使用调整的基于 Wald 的检验统计量。JMP 在双侧原假设下按以下方式计算功效:

其中:


其他情况则为 0,并且
χ1-α 是 χ12 分布的第 (1 - α) 分位数。
因为对于 n 或 p0 没有近似的表达式,使用数值方法求解 n 或 p0 的值。
有关调整的 Wald 检验统计量的详细信息,请参见 Agresti and Coull (1998)。有关 JMP 中计算的详细信息,请参见 Barker(2011,第 3.3 节)。
Clopper-Pearson 精确区间估计方法基于二项分布。该方法导致 alpha 水平等于或大于指定的水平。Clopper-Pearson 方法比 Agresti-Coull 方法更保守(使用更大的样本大小)。
Clopper-Pearson 精确区间估计方法直接使用二项分布。使用数值方法求解未知参数的值。
有关 Clopper-Pearson 精确区间估计方法的详细信息,请参见 Clopper and Pearson (1934) 或 Agresti and Coull(1998,第 1 节)。