单样本均值计算基于以下假设检验的传统完全与简化的 F 检验:

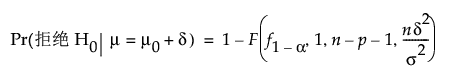
JMP 按如下方式计算功效:

其中:
α 是显著性水平。
n 是样本大小。
p 额外参数的数目。
δ 是待检差值。
f1-α 是 F(1, n- p -1) 分布的第 (1 - α) 分位数。
F(x, df1, df2, nc) 是非中心 F 分布的累积分布函数,该函数的自由度为 df1 和 df2,非中心参数 nc 在 x 处求值。
由于 δ 和 n 的分析解不存在,则使用数值解对其求解。
有关 JMP 中计算的详细信息,请参见 Barker(2011,第 2.1 节)。