JMP 用于计算功效的公式取决于“备择标准差”选项的设置。
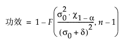
对于备择标准差更大的情形,JMP 按以下方式计算功效:


其中:
σ0 是假设标准差。
σ 是真正的标准差。
Χp 是 Χn-12 分布的第 (1 - p) 分位数。
F(x, n-1) 是在 x 处求值的 Χn-12 分布的累积分布函数。
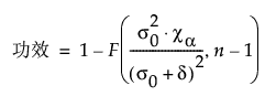
对于备择标准差更小的情形,JMP 按以下方式计算功效:


其中:
σ0 是假设标准差。
σ 是真正的标准差。
Χp 是 Χn-12 分布的第 (1 - p) 分位数。
F(x, n-1) 是在 x 处求值的 Χn-12 分布的累积分布函数。
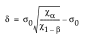
使用数值方法对 n 求解。
有关 JMP 中计算的详细信息,请参见 Barker(2011,第 2.4 节)。