实验设计指南 > 前瞻样本大小与功效 > “Sigma 质量水平”计算器 > Sigma 质量计算器的统计详细信息
发布日期: 11/15/2021

Sigma 质量计算器的统计详细信息

对于 n 次机会中的 d 个缺陷,sigma 质量计算器的计算基于 sigma 质量水平 σq 的定义:

Equation shown here

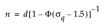
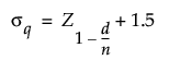
从该定义中,可以按以下方式计算 dn

Equation shown here

Equation shown here

其中 Φ() 是标准正态累积分布函数,Z1-d/n 是标准正态分布的第 (1 - d/n) 分位数。

需要更多信息?有问题?从 JMP 用户社区得到解答 (community.jmp.com).