发布日期: 11/15/2021

变换

本节使用Stress中所述的符号。使用变换来对实际的邻近性进行尺度变换。考虑到数据中的特定结构,变换被认为能够改进 MDS 对实际邻近性的呈现。变换函数中的参数在最小化算法中变为额外参数。

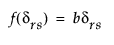
比变换

对于比数据:

Equation shown here

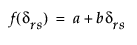
区间变换

对于区间数据:

Equation shown here

有序型变换

对于有序型数据,数据不进行变换,算法使用单调回归而不是最小二乘回归。

需要更多信息?有问题?从 JMP 用户社区得到解答 (community.jmp.com).