van der Voet T2 检验帮助确定具有指定提取因子数的模型是否与建议的最优模型显著不同。该检验是基于以下原假设的随机化检验:两个模型的残差平方具有相同的分布。直观上,可以将该原假设表述为:两个模型具有相同的预测能力。
要获得“交叉验证”报表中给出的 van der Voet T2 统计量,对每个验证集执行下面的计算。在单个验证集的情况下,结果是报告的值。若使用“留一法”和“K 重”验证,则对每个验证集的结果求平均值。
用 Ri, jk 表示模型的响应 k 的第 j 个预测残差,该模型具有 i 个提取因子。用 Ropt, jk 表示模型的相应量,该模型基于建议的最佳因子数 opt。检验统计量基于以下差值:

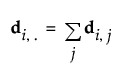
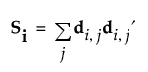
假定有 K 个响应。考虑以下符号:



按以下方式定义 i 个提取因子的 van der Voet 统计量:

通过比较 Ci 与将 R2i, jk 和 R2opt, jk 随机交换所得值的分布,来获得显著性水平。模拟了这类值的 Monte Carlo 样本,并将显著性水平近似为模拟临界值大于等于 Ci 的比例。