在输入加速寿命试验 (ALT) 规格之后,点击制作设计以创建最优 ALT 设计。提供用于比较的平衡设计。可使用提供的设计报表和设计诊断报表来评估您的 ALT 设计。
注意:默认情况下,最优设计为分位数估计值最优。要更改最优性准则,请点击“加速寿命试验计划”红色小三角并选择 ALT 最优性准则。
除最优设计之外,设计报表还包含一个平衡设计。最优设计分配单元以提供失效率的最佳估计值。比较两种设计的方差估计值,以评估使用计算上更复杂的最优设计而不是平衡设计的利弊得失。
图 23.7 ALT 设计部分
设计
显示平衡设计和最优设计各自对应的表。对于单个因子,第一列提供该因子的水平。对于两个因子,前两列提供因子水平。
单元数
针对加速水平的每一组合试验的单元数。
期望失效数
设计设置的期望失效数。使用先验模型规格计算期望数。
所有删失概率
在这些加速水平组合下没有任何试验单元失效的概率。使用先验模型规格计算该概率。
失效概率
设计设置的预期失效概率。失效概率计算为预期失效数除以试验单元数。
注意:期望失效数和删失概率支持您判断您的先验规格是否合理。
平衡设计的参数方差
提供与平衡设计的加速模型参数估计值的协方差矩阵成比例的矩阵。
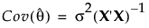
用 X 表示模型相对于参数 q 的一阶偏导矩阵。用 s2 表示误差方差。在一般条件下,q 的最小二乘估计量是渐近无偏的,其渐近协方差矩阵如下所示:

“平衡设计的参数方差”部分提供 (X‘X)-1,其中的导数要进行数值计算。该计算假定在“先验均值”部分中指定的值是真实的参数值。
请参见“非线性模型的统计详细信息”。
最优设计的参数方差
显示与最优设计的加速模型参数估计值的协方差矩阵成比例的矩阵。该计算假定在“先验均值”部分中指定的值是真实的参数值。
注意:将“最优设计的参数方差”矩阵中的值与“平衡设计的参数方差”矩阵中的值进行比较,以确定最优设计在减少估计值方差的程度。
设计诊断报表包含最优性准则、若干刻画器和一个模拟器。
最优性准则
提供三个最优性准则的值:
D 准则
设计的 D 最优性。请参见制作 D 最优设计。
分位数准则
设计的时间 I 最优性。请参见制作分位数估计值最优。
概率准则
设计的概率 I 最优性。请参见制作失效概率最优。
“分布”刻画器
随着您更改加速因子和时间,支持您基于最优设计探索失效概率。概率基于以下假设:在“先验均值”中指定的值是真实的参数值。
R 精度因子(95% 置信区间)
用于评估样本大小、因子水平和所关注分位数对“R 精度因子”的影响的刻画器。“R 精度因子”(95% 置信区间)是用于所关注分位数的 95% 置信区间的精度的测度。
模拟器
使用模拟器在收集数据前探索加速模型。
模拟数
要运行的模拟试验数。
关注的模拟概率
关注的失效概率。
模拟使用
加速因子的使用条件值。
运行模拟
生成汇总统计量表和模拟的模型拟合图。
后退
支持您返回设计规格以便对设计做出更改。