在“寿命分布”平台中,“拟合竞争风险混合模型”选项支持您拟合竞争风险混合分布。该选项估计给定观测因为由每个成分混合分布表示的原因而失效的概率。有关示例,请参见拟合竞争风险混合模型的示例。
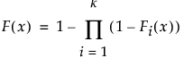
竞争风险混合概率分布函数 F(x) 定义如下:

其中,Fi(x) 表示第 i 个风险的累积失效分布,k 是混合模型中成分(风险)的数目。“拟合竞争风险混合模型”选项尝试标识从每个成分分布 Fi(x) 中抽取的观测聚类。它估计混合模型的参数以及从任意给定成分中抽取观测的概率。
“竞争风险混合模型”报表的结构类似于“混合模型”报表。请参见拟合混合模型。不过,“拟合竞争风险混合模型”报表不显示“密度叠加”图,而是显示“分布叠加”图。
“分布叠加”图显示每个混合成分和组合混合(聚合)的累积分布函数。图右侧的图例支持您选择要显示的累积分布函数。