发布日期: 09/18/2023

频数

频数(包括具有非整数值的那些频数)对分析的影响由它们对损失函数的影响来解释。假定您要使用响应值 yi 和预测变量 xi1, xi2,..., xin 来估计参数 q。假定损失函数(没有频数变量)满足以下方程:

Equation shown here

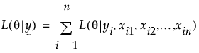
若定义频数 fi,则损失函数为:

Equation shown here

所有基于推断的量计算(如参数估计值、标准误差、假设检验和置信区间)都基于该形式的损失函数。

需要更多信息?有问题?从 JMP 用户社区得到解答 (community.jmp.com).