“神经”平台可拟合一层或两层神经网络。增加第一层中的节点数或添加第二层可使神经网络更加灵活。每一层添加的节点数不受限制。第二层节点是 X 变量的函数。第一层节点是第二层节点的函数。Y 变量是第一层节点的函数。
注意:JMP 的标准版本仅使用 TanH 激活函数,只能拟合包含一个隐藏层的神经网络。
警告:您无法在两层神经网络中使用提升。若在第二层中指定任何非零值并且还指定了提升,则忽略第二层。
在隐藏层的节点处应用的函数称为激活函数。激活函数是 X 变量线性组合的变换。提供以下激活函数:
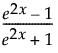
TanH
双曲正切函数是一个 S 形函数。TanH 将值变换到 -1 和 1 之间,是经过中心化和统一尺度变换的 Logistic 函数。双曲正切函数为:

其中,x 是 X 变量的线性组合。
线性
恒等函数。不变换 X 变量的线性组合。
线性激活函数经常与一个非线性激活函数一起使用。在这种情况下,线性激活函数置于第二层中,非线性激活函数置于第一层中。若您想要先降低 X 变量的维度,然后建立 Y 变量的非线性模型,那么这样设置激活函数会很有用。
对于连续 Y 变量,若仅使用线性激活函数,Y 变量的模型会简化为 X 变量的线性组合。对于名义型或有序型 Y 变量,模型会简化为 Logistic 回归。
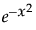
高斯
高斯函数。对径向基函数行为使用该选项,或是在响应曲面在形状上为高斯(正态)分布时使用该选项。高斯函数为:

其中,x 是 X 变量的线性组合。