在“拟合最小二乘法”报表中,“失拟”选项可为评估模型是否良好拟合数据的检验提供详细信息。仅当可以执行该检验时才会显示“失拟”报表。该检验依赖于使用独立于模型的估计值估计响应方差的能力。构造该估计值要求模型效应的重复值处有响应值。该检验涉及纯误差估计值的计算,它基于利用这些重复观测得到的平方和。
在以下情况下,由于无法计算检验统计量,“失拟”报表不会显示:
• X 变量没有重复点,所以无法计算纯误差平方和。
• 模型饱和,这表示估计参数的个数与观测数相同。这种模型完全拟合,所以不可能评估失拟。
模型中的误差平方和与纯误差平方和之间的差值称为失拟平方和。若模型不合适,失拟变异会显著大于纯误差变异。例如,您的预测变量的函数形式可能有误,或是您模型中的交互作用效应可能不足或不正确。
“失拟”报表包含以下列:
源
变异的三个来源:失拟、纯误差和总误差。
自由度
每个变异来源的自由度 (DF):
‒ 总误差的自由度与“方差分析”表的“误差”行中的自由度值相同。根据平方和分解,总误差自由度可分为失拟自由度和纯误差自由度。
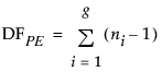
‒ 纯误差自由度是每个重复观测组的合并结果。通常情况下,若有 g 个组,而且每组中每个效应具有相同的设置,则纯误差自由度(表示为 DFPE)定义如下:

其中,ni 是第 i 个组中的重复值数目。
‒ 失拟自由度是总误差自由度与纯误差自由度之间的差值。
平方和
每个误差来源关联的平方和 (SS):
‒ 总误差平方和是相应的“方差分析”表的误差行中的平方和。
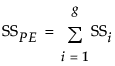
‒ 纯误差平方和是每个重复的观测组的平方和的总和。用纯误差平方和除以其自由度可估计给定的预测变量设置下的响应方差。该估计值不受模型影响。通常情况下,若有 g 个组,而且每组中每个效应具有相同的设置,则纯误差平方和(表示为 SSPE)定义如下:

其中,SSi 是每个观测响应与第 i 个组的响应均值之间差值的平方和。
‒ 失拟平方和是总误差平方和与纯误差平方和之间的差值。
均方
源的均方,它是平方和除以自由度的结果。与纯误差均方相比,较大的失拟均方表明模型拟合不佳。F 比提供正式检验。
F 比
失拟均方与纯误差均方之比。F 比检验的是以下假设:失拟估计的方差与纯误差均方相等,这可以解释为表示“无失拟”。
概率 > F
失拟检验的 p 值。较小的 p 值指示失拟显著。
最大 R 方
仅基于这些效应的模型可实现的最大 R 方。纯误差平方和不随模型形式变化而变化。所以包含这些重复效应的模型可以解释的最大变异量等于:

该公式定义了最大 R 方。